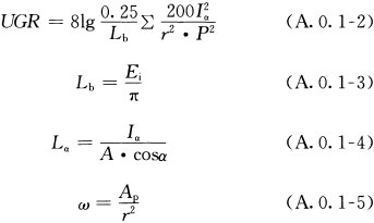
附录A 统一眩光值(UGR) A.0.1 室内照明场所的统一眩光值(UGR)计算应符合下列规定: 1 当灯具发光部分面积为0.005m2<S<1.5m2时,统一眩光值(UGR)应按下式进行计算: 式中:Lb——背景亮度(cd/m2); ω——每个灯具发光部分对观察者眼睛所形成的立体角(图A.0.1-1a)(sr); Lα——灯具在观察者眼睛方向的亮度(图A.0.1-1b)(cd/m2); P——每个单独灯具的位置指数。 图A.0.1-1 统一眩光值计算参数示意图 1—灯具发光部分;2—观察者眼睛方向;3—灯具发光中心与观察者眼睛连线;4—观察者;5—灯具发光表面法线 2 对发光部分面积小于0.005m2的筒灯等光源,统一眩光值应按下列公式进行计算: 式中:Lb——背景亮度(cd/m2); Iα——灯具发光中心与观察者眼睛连线方向的灯具发光强度(cd); P——每个单独灯具的位置指数,位置指数应按H/R和T/R坐标系(图A.0.1-2)及表A.0.1确定; Ei——观察者眼睛方向的间接照度(lx); A·cosα——灯具在观察者眼睛方向的投影面积(m2); α——灯具表面法线与其中心和观察者眼睛连线所夹的角度(°); Ap——灯具发光部分在观察者眼睛方向的表观面积(m2); r——灯具发光部分中心到观察者眼睛之间的距离(m)。 图A.0.1-2 以观察者位置为原点的位置指数坐标系统(R,T,H) 1—灯具中心;2—视线;3—水平面;4—观测者 表A.0.1 位置指数表 A.0.2 统一眩光值(UGR)的应用条件应符合下列规定: 1 UGR适用于简单的立方体形房间的一般照明装置设计,不应用于采用间接照明和发光天棚的房间; 2 灯具应为双对称配光; 3 坐姿观测者眼睛的高度应取1.2m,站姿观测者眼睛的高度应取1.5m; 4 观测位置应在纵向和横向两面墙的中点,视线应水平朝前观测; 5 房间表面应为大约高出地面0.75m的工作面、灯具安装表面以及此两个表面之间的墙面。